クルーグマン:恒星系間貿易の理論
このブログのタイトルは、政治(Politics)、経済学(Economics)、そしてSF(Science Fiction)という、おれの興味のある分野のそれぞれの頭文字から取ってるのですが、残念ながらプロフィールにも書いたように、これまでSFについて書くことはあまりありませんでした。それなのに、ついに経済学とSFタグを同時に使える日が来ようとは!クルーグマン、ありがとう!
というわけで、またまたクルーグマンの論文、それも彼の専門の貿易分野についてのものです。かなり前から訳そう訳そうと思っていながらぐずぐずしていたのですが、もうそろそろ忙しくなりそうなのでその前に訳してすっきりしておくことにしました。そもそもこれを訳そうと思ったのはこれが国際貿易ではなくて恒星系間、つまり異なる太陽系間での貿易についての論文だからです。この手のものではアシモフのチオチモリンが有名ですが、論文の形式についてだけ評価した時はこっちの方が上ではないかと。もっとも他にこの手のSF論文が他にあるのかどうかもよく分からないですが。
この論文については以前にも触れた事がありましたが、これはクルーグマンがまだイェールで打ちひしがれたアシスタントプロフェッサーだった1978年に書かかれた論文だそうです。クルーグマンのSFファンの側面が大変よく出ているだけでなく、経済学の将来の為にも大変参考になる所の多い論文であります。経済学の仮定が地球上で非現実的だというなら、地球の外へ目を向けよう!狭い地球にゃ 未練はないさ♪、ということで経済学には地球は狭すぎる!いざ行かん、ホモ・エコノミクスが住む合理的でパーフェクト・フォレサイトな新世界を探しに!宇宙、それは経済学最後のフロンティア!
それからこれは、さっきも書きましたようにクルーグマンのSFファンの側面がよく出た論文ですので、正直SFに(あと経済学に)興味がない人が読んで面白いのかどうかは、保障のかぎりではありません。また、この論文ではクルーグマンは駄洒落をよく使っていて、これがくだらなくておもしろいのですが、すいません、その翻訳は放棄しました。だって、英語のSF・経済学ネタの駄洒落を日本語にするなんて、おれには無理です。そういうのはフィネガンズ・ウェイクを訳した人か、伊藤・朝倉さんクラスの人がやるべきことだと最初の段階で仮定しておきました。あとそれから、物理用語も色々とできてきます。一応チェックはしましたが、正直物理関係の訳は保障できるものではありません。なので誤訳を見つけられた方は、ご連絡ください。よろしくお願いします。数学表記に関しては、以前のアセモグルの時同様、下付添え字を表すのに「{ }」をつかっています。最後に、原文中の下線部はすべて太字になっています。
追記:まさかdankogaiさん、そして山形さんから反応がもらえるとは!
修正:はてブでid:ya--madaさんから指摘を受けましたので、「恒星間」を「恒星系間」に変更しました。それ以外にも誤字脱字などを修正しています。
恒星系間貿易の理論(PDF)
ポール・クルーグマン*1 1978年7月
概要
この論文は惑星間貿易の理論を恒星系間の状況へと拡張したものである。以下の疑問を主な対象としている:財が光速に近い速度で運ばれる時、その財への利子はどのように計算されるべきだろうか?財とともに旅をしている人間にとって移動にかかった時間は、静止してそれを観察している人間より短く感じられる為、このことが問題となる。経済理論からのその解決と、そして二つの役に立たないが完全に正しい理論を証明する。
I.イントロダクション
伝統的な経済学に対する多くの批判者は、まったくの正当性をもって新古典派理論の根底にある仮定は我々の知る世界にはまるで似ていないと批判する。しかし、こういったことから主流派の経済学がまったく役に立たないと批判するのは早計である。宇宙旅行の科学に関する近年の進歩、そしてエネルギー生産と殖民(O'Neill 1976*2 )の為の宇宙の利用の見通しからすると、こういった批判は怪しいものとなる;それらによって我々がいつの日にか正統的な経済学を適用できる世界*3を発見するか、作り出す*4可能性が高まるからだ。よって、経済学者は恒星系間貿易経済の発展を理解し、さらには促進することに特別な利害を持つことは明らかである。恒星系間経済関係の適切な理論の構築がそういった関係の発展を促進するかもしれない。この研究がその発展に、アダム・スミスの研究がマサチューセッツとヴァージニアへの初期の移民に持ったのと同様の影響力を持つやもと示唆するのはいきすぎだろうか?
この論文は恒星系間貿易の理論へ向けた一人の経済学者にとっての小さな一歩である*5。これは太陽系内での貿易の分析を飛び越えて、恒星系間の距離での貿易の問題を直接取り扱っている。惑星間貿易は、多くの実証上の興味を呼び起こしてはいるが(Frankel 1975)、理論的に大きな問題を伴うものではない。それは地域間および国家間の貿易と同じフレームワークで取り扱うことができるからだ。この点を指摘しなかった著者としてはOhlin (1933)とSamuelson (1947)がいる。それに対して、恒星系間貿易にはまったく新しい考察の対象が関わってくる。そのうちもっとも重要なものは、輸送にかかる時間が観察者の座標系に依存する場合の、輸送中の財についての資本費用の計算の問題と、そして同時性が自明であることを止めた時の、あるいは止めた空間における(どちらも同じ事なのだ*6 )、恒星系間資本市場の裁定取引の適切なモデリングについてである。
こういった複雑化の要因は恒星系間貿易を一見、我々の通常の貿易モデルとは非常に異なるものにしてしまうように思われる;おそらく異星人にはなじみ深いのだろうが*7。しかし、最大化と機会費用の原則はこういった疑問への明確な答えを与えてくれることが示される。宇宙全域で正しい理論を構築しているフリをするつもりはないが、しかし少なくとも銀河規模での重要性はあるだろう*8。
この論文の残りの部分は三つのセクションへと、読者の慣性座標に応じて、分かれている、分かれるだろう、分かれていた*9。セクションIIにおいて、分析の基本的なアインシュタイン・フレームワークをつくりだす。セクションIIIでは、このフレームワークが財の恒星系間貿易の分析に利用される。そしてセクションIVにおいて、恒星系間資本移動の役割について考察する。この論文の対象はばかばかしいが、その分析自体はきちんとしたものである事をはっきりと述べておこう。よってこの論文は、バカバカしい対象についての真剣な分析である。これは勿論、通常の経済学とはまったく逆のことだ。
II.基本的な考察
恒星系間貿易を我々が慣れ親しんでいる惑星間貿易から隔てる二つの大きな要素がある。その最初のものは、輸送は光速以下の速度でしか行えない為に輸送にかかる時間が非常に長いものになるということだ;往復数百年というのは非常にありそうだ。その第二は、もし恒星系間貿易がそもそも実用的になるためには、それを行う宇宙船は光速にかなり近づかなければならないということだ。
恒星系間貿易はそんな長期にわたるものになる為、輸送船を送り出すというどんな決定も必然的に非常に長期的な投資プロジェクトとなってしまう。そして非常に大きな将来の市場がない限り到底、計画されないだろう。そのため私は将来の先物市場がその発展の中で、その、未来的になるものと仮定することとする*10。さらに、私は投資家が、人間であれあるいはその他のものであれ、無限期間にわたる価格を完全に予測できるものと仮定する。
恒星系間取引の第二の特徴はそう簡単には対処できない(物理学者は困難な問題を仮定によって解決するやり方に、経済学者ほど寛容ではないのだ)。もし輸送宇宙船が非常な高速で移動するなら、輸送にかかる時間についての尺度がただ一つだけではなくなってしまう。宇宙船が往復に要した時間は、その船に搭乗していた観測者にとって地球上に残っていた者よりも短く思われるのだ。恒星系間航行は正の現在価値を持った投資計画であるはずなので、どちらにとっての航行時間を現在価値の計算に利用すべきかという問題があることは明らかである。
これは経済的分析を必要とする慣性の問題[an inertial problem]−−これは重力場における錘の問題[a weighty problem in a gravitational field]となる−−であり、次のセクションにおいてその分析が与えられる。このセクションでは図Iに表されている、必要な物理学上のコンセプトについて説明する。二つの惑星、地球とトランター*11の間での貿易を考えよう。その二つの惑星は同じ慣性系の中にいるとみなせるものとする*12。そうすると時空間における彼らの世界腺は二つの平行線、EE'E''とTT'T''、によって表すことができる。二つの惑星の間でのいくつかのタイプのコンタクトもまた描かれている。線ETは地球からトランターへと送られた電磁波シグナル−−たとえばスタートレックの再放送−−の世界腺である。もし時間が年数で、空間が光年で測られるなら、ET*13は45度の傾きをもつ。E'T' の線は、一定の速度で地球からトランターへと移動している宇宙船の世界腺である。
図I
これはETよりも急な傾きになる。宇宙船の速度は光速を下回るからだ。最後に、E''T''はより実際にありそうな宇宙船の経路を表している:最初の加速、そして後の減速を行っている。
さて、時間の膨張の問題*14を考えよう。一定速度の宇宙船のケースを考えるだけで十分だろう。さて、地球からトランターへの航行が地球−トランターの慣性座標系にいる観測者にはn年かかるように見えたなら、宇宙船に搭乗しているものにはn-年*15かかるようにみえる。

これのvは宇宙船の速度、cは光の速度である。これは航行をMinkowski時空間、つまり、実数の空間軸と虚数の時間軸の中で表すことにより簡単に示すことができる。そうすると船の速度は軸の回転によって表すことができる。時間軸の回転は図IIにおいて表されている。(図IIが見えないという読者は虚数軸の図を理解しようなどとする事自体、当然ながら虚しいものだということを認識していただきたい*16 )。
図II
このセクションを終えるにあたって、貿易を行う惑星が同じ慣性系にあるという仮定について何か言っておくべきだろう。これは有益な単純化であって、我々の考察を特殊相対性についてだけに限定してくれる[permitting us to limit ourselves to consideration of special relativity]。さらにこれは我々が貿易を行いそうな惑星についての妥当な近似でもある。しかし読者は、一般相対性を用いて分析をより大きな相対運動をともなった惑星間での貿易へと拡張したいと望むかもしれない。この拡張は興味をもった読者へと残しておくこととする。というのは、この著者は一般相対性理論を理解していないのである。ましてやそれの貿易への応用など。
III.財の恒星系間貿易
さて、では経済分析を始めよう。まずは記号についての説明から始めさせてもらいたい。以下のように定義する*17。
P{E}、P{T} = 地球における地球財とトランター財の価格
P*{E}、P*{T} = トランターにおける地球財とトランター財の価格
r、r* = 地球とトランターにおける利子率
N = 地球−トランターの慣性系にいる観測者によって観察された、地球からトランターへの(あるいはその逆の)航行に要する時間
N以外のすべての数量は、時間の中の一点におけるものだ。しかし、特に述べた場合を除いて簡単化の為にこういった数量は時間の経つ中でも一定であるものと仮定する。
さて、もっとも単純な恒星系間取引について考察することからはじめよう。分析の難しい点とその解決のための鍵を教えてくれる。トランターの商人が地球との貿易を考えているとする。今のところ、両惑星での利子率は同じだとしよう。この仮定は次のセクションでその正当化の根拠が与えられる*18。そうすると、それ(商人)*19はその頭の中で(あるいは同様の器官のなかで)以下のような取引を考えることだろう。最初に c+q*{T}p*{T} を支払う。このcは宇宙船打ち上げに伴う費用であり、q*{T}は輸送されるトランターの財の数量だ。その宇宙船が地球に着いた時、その財は地球の財と交換される;これまでに定義された表記をつかって、この財の数量はq*{E}=q*{T}p{T}/p{E}となる。最後に、帰還後、その財は価格p*{E}で販売され、売り上げq*{T}p{T}p*{E}/p{E}を上げる*20。
この取引は利益を生むだろうか?トランターにずっといる商人はその売り上げの現在価値が最初の費用を上回るかどうかを問うことになる;この旅は静止している観測者*21の観点からすると2N年を要するから、その判断の評価は次となる。

しかし、もしこの商人が旅についていったとしたら?そうすると旅は航行している搭乗者の観点からすると、たった、

しか要しない。これはこの取引を行うかどうかについての下の判断基準を意味する。

これらの判断基準は両方が同時に正しくあることはできない。では、どちらが正しいのだろうか?
その答えは現在価値の計算についての正当化の根拠を考えると得る事ができる。現在価値の計算は、機会費用のことを考慮しているが故に意味がある:投資家は、その投資を行う代わりに債権を買うこともできるのだ。その場合、商人は地球に輸送船を送る代わりに、トランターで債権を買って満期を待つことになる。宇宙船が帰ってくる時点での債権の価値は、宇宙船船内での時間の経過に依存することはない。つまり(2')ではなく、(2)が適切な選択基準となる。よって以下の事が示された:
恒星系間貿易の第一基本定理:貿易が共通の慣性系内の二つの惑星間で行われる場合、財についての利子費用は、輸送を行う宇宙船の慣性系内の時計によってではなく、その共通の慣性系内にある時計により測られた時間で計算されるべきである。
この時点では、読者が次のような反論をしてくることは想定の範囲外だ。商人が、往復の旅をおこなうのではなく、荷とともに旅して地球に金持ちの...まあ、人間ではないが、しかし金持ちの何かとして移住したとしよう。そうした場合も、この議論は正しいだろうか?
特殊なケースを考えた場合、議論が正しいかどうかは簡単には分からない。輸送される財にかかる利子費用以外の輸送費用は無視できるほど小さいとしよう;そしてさらに、恒星系間輸送の業界は競争的であるとしよう。よって、その利益はゼロとなる。そうすると、もし(2)が正しい判断基準なら、次の関係が成立する。

よって、財の相対価格が均等化することはない;地球上とトランター上での相対価格の間には楔が打ち込まれているわけだ。
さて、この特殊なケースにおいて、地球への移住を考えているトランター人のことについて[the position of a Trantorian]考えてみよう。それはトランターで積荷を購入して地球にて売ることができる。またはまた、トランターで債権を購入し、地球に着いてから、その権利を逆方向の移動を考えている地球人に売ることもできる。この選択肢が可能であるが故に、その商人自身は往復の旅を考えてはいないという事実は本質的なものではないことになる。その地球人がその債権の権利の為に支払う額は、その地球人がトランターに着いた時の債券の価値を反映するからだ。これから移住しようとする商人によって購入された1クレジット*22の(トランターの)債権は、逆方向への移住者がやってきてその権利を行使するときまでに、その価値がCrT.(1+r*)^{2N}*23へと大きくなる。そういった移住者は債権を買うかそれとも地球財を運んでいくかを選ぶことができるので*24、裁定取引から地球におけるトランターの債権の価格は次のようになる。

しかし、トランターから地球へと輸送された(トランターで)1クレジットの価値の積荷はCrE.p{T}/p*{T}*25で売られるが、これは(3)により、CrE.(1+r*)^{2N}p{E}/p*{E}に等しい。よって、トランターの商人は財を輸送するのと、債権を買うことについて無差別となる。これは往復の旅を行う宇宙船や個人がいなくとも、恒星系間貿易の第一基本定理が正しいということを示している。その定理の為に必要なものは、双方向の貿易、どちらの方向へもだれかあるいは何か移動していることなのだ。
この証明は特殊なケースについてのものであった;しかしこの命題は実のところ相対的に一般的なものなのだ。(当然ながら読者には、相対的な一般性("relative generality")と一般相対性("general relativity")を混同することのないよう、注意されたい)。輸送費用が存在する場合の存在第一基本定理の証明は、この著者のいまだ書かれざるワーキングペーパー(Krugman 1987)の中で行われるかもしれない。
IV. 恒星系間資本移動
注意深い読者は恒星系間での財の貿易についての分析がすでに資産市場についての議論を含んでいたことに気づくだろう。これは、恒星系間での輸送費用が利子率に依存すること、そして第一基本定理の正しさが証券の異種族間での交換を通じた裁定取引に依存していることの為にである。さらに、前のセクションの結果は、二つの惑星での利子率が等しいという仮定に依存している。このセクションでは、恒星系間資本移動の効果について考察しよう。特に、恒星系間裁定取引が実際に利子率を均等化させるかどうかについて見てゆく。
最初はこれが怪しげに見えるやもしれない。裁定取引は国際的には可能である。それは、投資家は次の、たとえば30日間、その資産の各国への投資を単純にブローカーへ電話して指示するだけで行えるからだ。恒星系間での貿易ではことはそう簡単ではない。非人間のブローカーは耳を持っていないかもしれない事、まして電話など使っていないかも知れないことは置いておいても、瞬時の裁定取引は可能ではないという問題がある。メッセージは光速でしか移動できないし、財はさらに遅くなる。この事から惑星ごとに相対財価格が異なることはすでに分かっている。これは通常の意味での輸送費用がなくてもそうなるのだ。ならば、利子率もまた異なるのではないか?
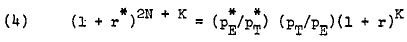
おそらく驚かれることだろうが、答えはノー、である。恒星系間資本移動のある一例を考えるだけで十分だろう。前のセクション同様、輸送費用は輸送される財への利子費用だけだとしよう。そうすると、方程式(3)が相対価格について成立する。さて、トランターの住人が次のような取引を行うとしよう。(i) 財を地球へ輸送する。(ii)その財の売り上げを地球のK年ものの債権に投資する。(iii) そして地球の財を買い、それをトランターへと送る。この取引からの利益は、投資として考えて、同じ期間中、つまり2N+K年の間、債権を保有していた場合と同じ利益を上げなければならない。これから次の条件を得る。

しかし、関係(3)から、これはr=r*になるのだ。よって、我々は利子率が均等化するという結論を得た:
恒星系間貿易の第二基本定理:もし知性体がおなじ慣性系にある二つの惑星において債権を所有するなら、競争により二つの惑星での利子率は均等化する。
この論文において発見された二つの定理を組み合わせると、我々は同じ慣性系にある惑星間での恒星系間貿易の一貫した理論の基礎を得たことになる。恒星系間貿易の航行は、惑星間で共通の利子率により評価される投資のプロジェクトとみなせるわけだ。これにより、要素価格、所得の分配、そして厚生への貿易の効果を、一般均衡分析のいつものツールを使って調べることができるようになる。そこから見えてくる世界、いや、というより宇宙の姿は、おかしな(lunatic)ものではない;月ではなく、星々なのだ[stellar, maybe, but not lunatic]。
宇宙、それは経済学の最後のフロンティアなのだろうか?確かに、この[論文]はその最初の探求でしかない。しかしその可能性は間違いなく無限である。(そして当然だが、曲がった時空間[curve space-time]においては、これはその可能性が有限であることを妨げることもないのだ!)。私は恒星系間ファイナンスの魅惑的な可能性には触れることもなかった。それにおいては、現物取引と先渡取引市場が、条件付現在物市場によって補完されなければならないのだ。この分野を研究する我々はまだまだ少数だ。だが我等は知っている、フォースは我等と共にあることを。
参照文献
Frankel, J. "Is There Trade With Other Planets?," processed, International Monetary Fund, 1975.
Krugman, P., "Theory Capital and Travel Light-than-Faster," processed, Yale University, 1987. *26
Lawden, D., Tensor Calculus and Relativity, 1962
Ohlin, G., International and Interreginal Trade, 1933
O'Neill, G., The High Frontier, 1976.
Samuelson, P., Foundations of Economic Analysis, 1947.
*1:原注:イェール大学アシスタントプロフェッサー。この研究はWilliam Proxmire[民主党の当時の上院議員]再選委員会からの助成金を受けて行われた[冗談、でしょう]
*2:ガンダム等により日本でも有名なスペースコロニーを提唱した人。
*3:惑星の意味。
*5:「これは一人の人間にとっては小さな一歩だが、人類にとっては...」
*6:時間と空間は同じものとなる。詳しくは、よく分からんけどね。
*7:ここは原文では、"These complications make the theory of interstellar trade appear at first quite alien to our usual trade models; presumably it seems equally human to alien trade throrists" となってます。"alien"を「異なる」と「エイリアン」(異星人)の意味で掛けてますね。
*8:「宇宙全域」での部分は、"universally"。経済学の論文では普通、「普遍的に」や「常に」といった意味ですが、ここでは宇宙を意味します。
*9:ああ、楽しい!
*10:"I will assume, then, that future futures markets are, well, futuristic in their development." こういう駄洒落ばっかりです。
*11:アイザック・アシモフの主に1940年代に書かれたファウンデーション・シリーズ by 早川、(あるいは「銀河帝国の興亡」 by 東京創元)の中にでてくる銀河帝国の帝都の惑星。ちなみにクルーグマンはこのファウンデーションシリーズの中にでてくる心理歴史学者ハリ・セルダンに憧れて経済学の道を進んだ、[http://cruel.org/krugman/incidentsj.html:title=らしい]。
*12:まあ、惑星の公転自転の速度くらいなら、光速と比べて大したことないだろうということ、じゃないかと...
*13:1978年に書かれた論文なので、このETは映画ETとかかってはいない。
*14:光速に近い速度で移動する宇宙船内の時間は静止している観測者よりもゆっくり流れる。
*15:原文ではnバー、つまりnの上に線があるものです。はてなダイアリーでどうやったらそれが表示できるのかわかりませんので、「n-」を使っています。
*16:原文:Readers who find Figure II puzzling should recall that a diagram of an imaginary axis must, of course, itself be imaginary.
*17:{ }は下付の添え字を意味するものとします。
*18:原文にはここに")"があります。しかし"("はなし。もしかしたら「この仮定は」の前に"("があるはずだったのかも知れませんが、ともかくどちらもなしとしておきます。
*19:原文はheでもsheでもなく、"it"。その商人が人間でない可能性を考慮しているわけです。
*20:一応説明すると、q*{T}だけのトランター財を価格p*{T}で購入するので、その仕入れ費用がq*{T}p*{T}。これに宇宙船の費用としてcがかかる。その総計c+q*{T}p*{T}がこの取引の費用。地球についたトランター財は地球において一つp{T}で売れるから、その売り上げが、q*{T}p{T}。その売り上げで価格p{E}の地球財を購入するから、購入できる地球財の数はq*{T}p{T}/p{E}。そしてこの地球財はトランターにおいて価格p*{E}で販売される。
*21:トランターの商人
*22:クレジットは昔のSFでよく使われていた貨幣の単位。ファウンデーションシリーズで、トランターにおいてクレジット単位が使われていたかどうかは思い出せないが。
*23:CrTはトランタークレジット、トランターでの通貨を意味します。"^{ }"は上の添え字を意味することとします。つまり"^{2N}"は2N乗ということです。
*24:原文は"the choice of buying the bond on carrying Earth goods"となってますが、文中の"on"は"or"の間違いだろうとして訳しています。
*25:CrE.は地球クレジットです。
*26:論文タイトルが明らかに逆になってます。つまり、通常なら"Faster-than-Light Travel and Capital Theory"であるはず。これがこの論文はフランス語ぽい英語を話すパラレルワールドの1987年のアメリカからのものという事でないなら、おそらく超光速航行の副作用でしょう。あるいは、超光速航行の結果パラレルワールドに紛れ込んだのかもしれません。